Research Progress of Mid-infrared Laser Crystals - Part 06
1. 4 ~ 3 μm laser crystals doped with Er2+, U4+, Ho3+, Dy3+
Similar to the 2μm band (3F4 → 3H6) of Tm3+, there is an energy transfer up-conversion process (Energy transfer up-conversion, ETU) between Er3+ ions, and the cross-relaxation process:
ETU1 (Er3+: 4I13/2 + Er3+: 4I13/2 → Er3+: 4I9/2 + Er3+: 4I15/2)
ETU2 (Er3+: 4I11/2 + Er3+: 4I11/2 → Er3+: 4F7/2 + Er3+: 4I15/2)
Among them, the energy transfer up-conversion process ETU1 can rapidly consume the number of particles of Er3+ ion on energy level 4I13/2 (lower laser energy level), and half of the particles that have undergone this process are up-converted to Er3+ ion on energy level 4I9/2, and then go through Multi-phonon relaxation process, finally cycle to Er3+ ion on energy level 4I11/2 (upper laser energy level). These particles that cycle from the lower energy level to the upper energy level of the laser can emit 3μm laser photons through stimulated radiation again. For a large number of particles participating in this energy transfer up-conversion process, the physical process of only absorbing one pumping photon and emitting two 3μm laser photons is realized. When it is assumed that the ETU process only occurs at the lower laser energy level and the internal loss of the laser resonator is zero, the laser slope efficiency can reach twice the Stokes efficiency. Of course, due to the existence of the ETU2 process and the internal loss of the laser cavity, the actual laser slope efficiency cannot reach twice the Stokes efficiency. But the energy transfer coefficient of ETU1 process is higher than that of ETU2 process.
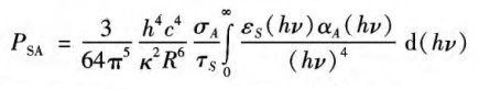
In addition, the lifetime of the upper level 4I11/2 of Er3+ (4I11/2 → 4I13/2) in the 3μm band is shorter than that of the lower level 4I13/2, which belongs to the "self-termination" transition. The energy transfer probability between ions (PSA) is:

PSA is directly proportional to the overlapping integral of the emission spectrum and the absorption spectrum, and is inversely proportional to the particle distance R6. Therefore, high-concentration doping can be used to increase the energy transfer probability between ions to improve the ETU1 process, or co-doped deactivated ions Pr3+ is used to reduce the lifetime of the lower energy level and achieve the effect of lower energy level deactivation. In 2018, Su Liang-bi et al. used the Er3+ "agglomeration" effect and up-conversion emission "two-photon" in alkaline earth fluoride crystals to make the academic idea that the laser slope efficiency may exceed the Stokes efficiency. By using Er: SrF2-CaF2 crystal with low doping concentration (4 at%), CW laser output in the 2.7 μm band with a slope efficiency of 41% and a power of 1.06 W has been realized, which is also the highest slope efficiency reported so far in the world for all solid-state LD pumping in this band. Although there have been reports of high-power CW laser output and a large number of Q-switched short pulses in Er3+ doped crystals in the 3 μm band, there has been no report of mode-locked ps or fs laser output so far.
In 1995, Louis et al. achieved 2.8 μm continuous laser output in U:YLF crystal for the first time, the laser upper energy level lifetime was as high as 310 μs, the gain cross section was as large as 3.2×10-19 cm2, and the spectral quality factor of U:YLF was 9.920×10-17 cm2 · μs, indicating the potential development prospects of U4+ in the ~ 3 μm band. In 2005, Su Liang-bi used 980 nm LD to pump U3+:CaF2 crystal to produce 2.0 ~ 2.8 μm broadband fluorescence emission, and the fluorescence FWHM reached 231 nm, but there was no subsequent report on laser output.
